
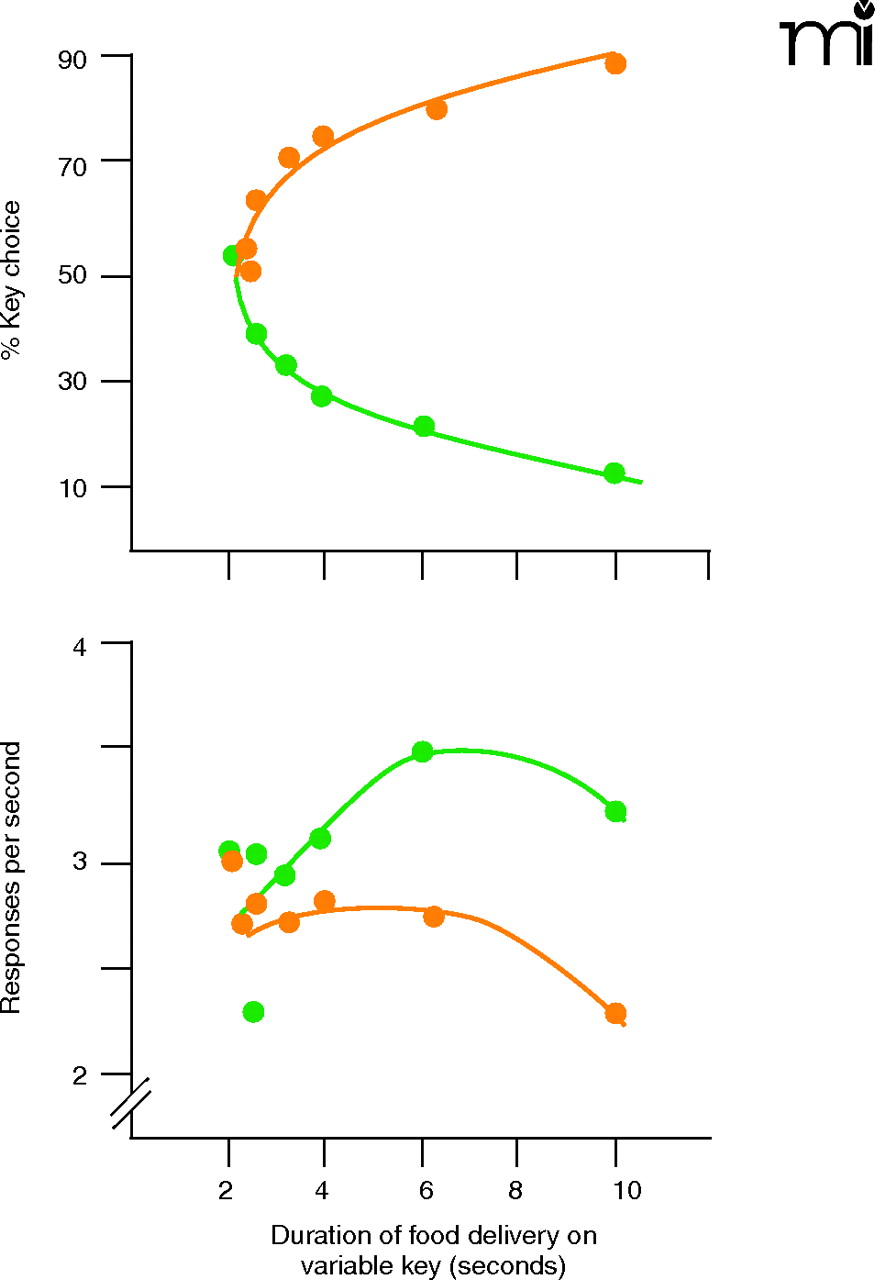
Reinforcing effects of food as a function of the duration of food delivery on either of two available response keys. The abscissa shows the duration of food delivery on one of the response keys (variable key) when the duration is held constant on the second key. The upper ordinate shows the percentage of responding on the variable key (orange circles) and the constant key (green circles). The lower ordinate shows the response rate on both keys. Note that pigeons chose, or preferred, longer access to grain and that the distribution of behavior is not well tracked by changes in response rate. [Adapted from (21).]