How Specific Are “Target-Specific” Drugs? Celecoxib as a Case in Point

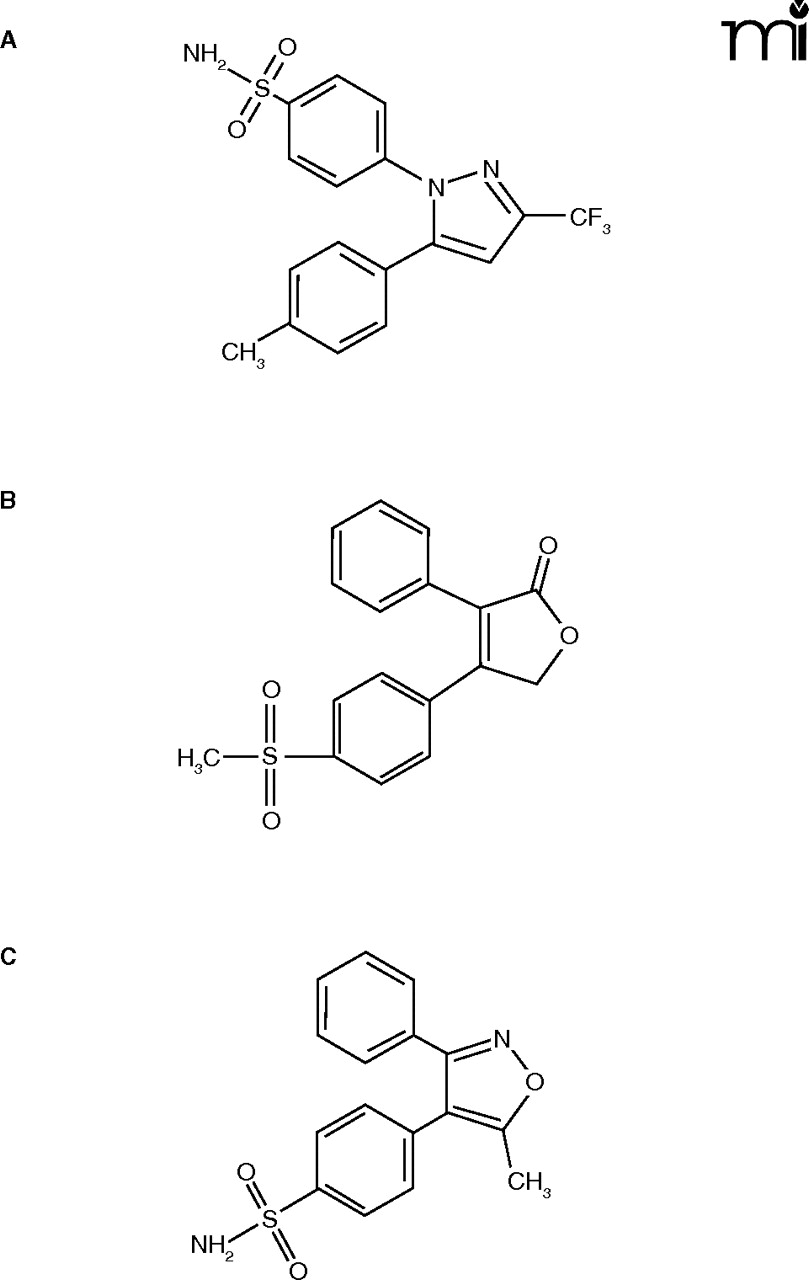
  Figure 1.
Figure 1.

Chemical structures of “highly selective” cyclooxygenase-2 inhibitors. Celecoxib (A), rofecoxib (B), and valdecoxib (C) are shown.

This Article

  1. MI August 2006 vol. 6 no. 4 196-198