LIPID Arrays: New Tools in the Understanding of Membrane Dynamics and Lipid Signaling

  Figure 5.
Figure 5.

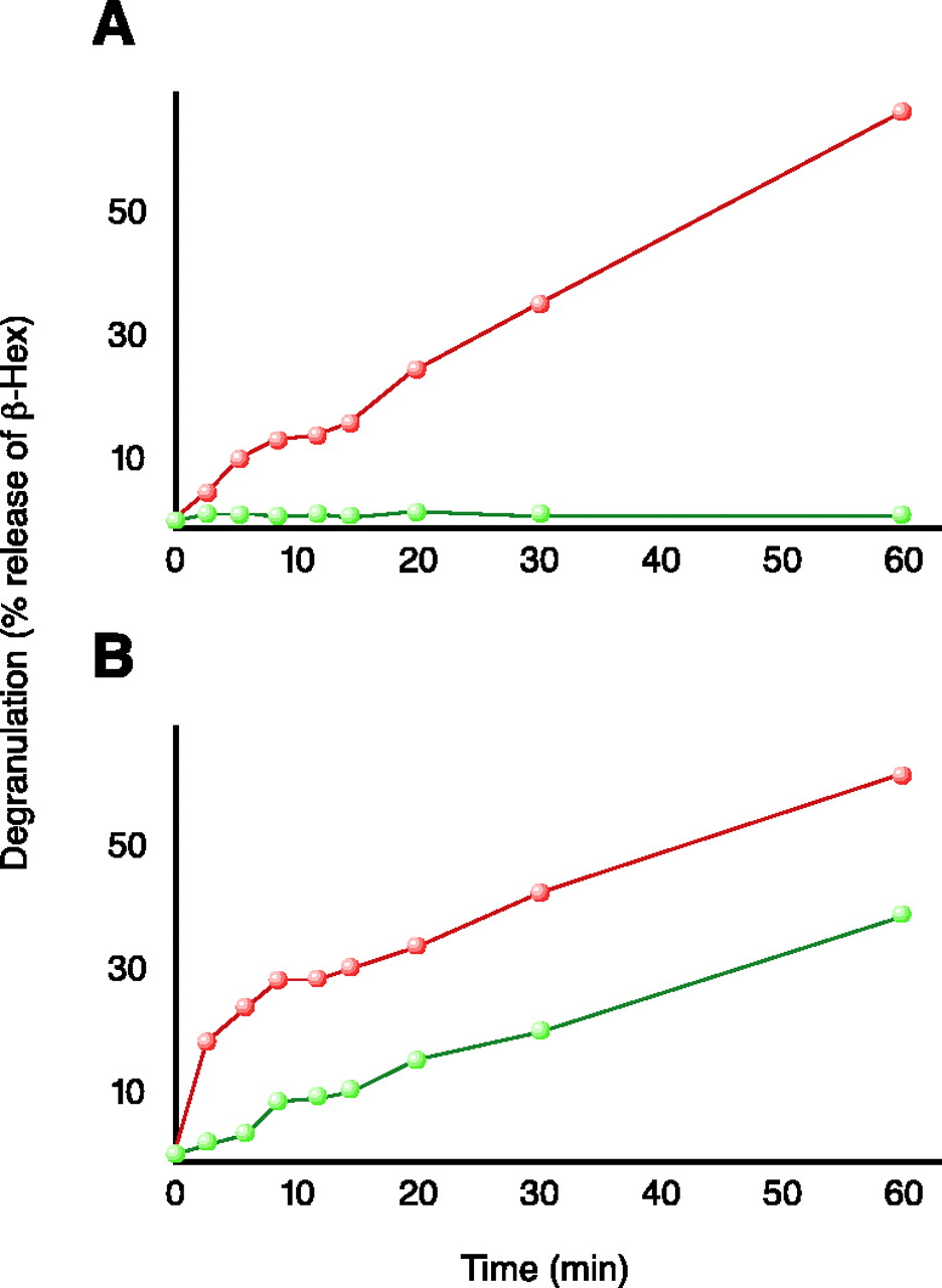
Degranulation in mast cells. Comparison between RBL-2H3 (red) and B6A4C1 (green) cells treated with antigen (A) and Ca2+ ionophore A23187 (B). The B6A4C1 cells have been shown to be defective in antigen-mediated degranulation while competent in calcium ionophore-mediated degranulation.

This Article

  1. MI April 2004 vol. 4 no. 2 86-96