
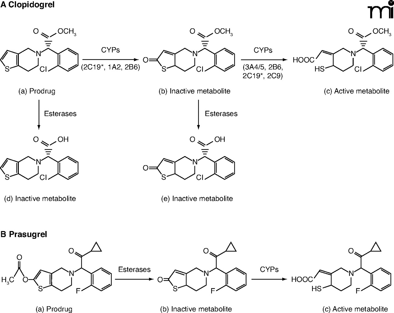
A. Clopidogrel metabolism from the prodrug form to its active metabolite occurs through two reactions that are mediated by cytochrome P450. Competing pathways for inactivation by esterases are also shown. B. Prasugrel metabolism occurs through two steps, one mediated by esterases and the other by cytochrome P450.