
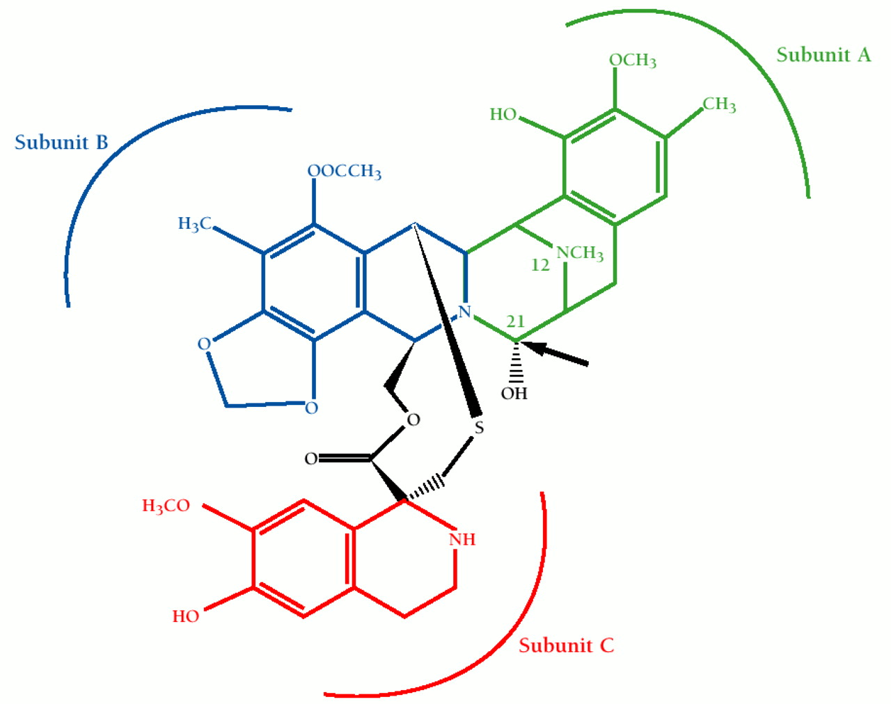
The tetrahydroisoquinoline Ecteinascidin 743 (ET-743), a novel chemotherapeutic presently in Phase II clinical trials. Subunits A and B are responsible for binding to the minor groove of DNA. The arrow points to the highly reactive carbinolamine bond responsible for alkylation. The compound is named after the marine organism, Ecteinascidia turbinata, from which it is isolated. (Figure courtesy of PharmaMar.)