
Figure 2
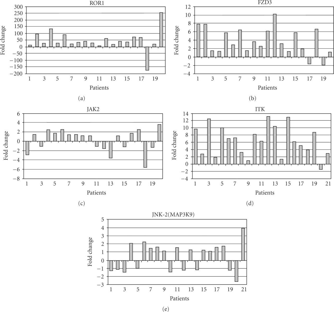
Quantitative real time RT-PCR on 21 low stage CLL patients for selected genes of the WNT/PCP non-canonical pathway where key members are over-expressed.
(Downloading may take up to 30 seconds. If the slide opens in your browser, select File -> Save As to save it.)
Click on image to view larger version.

Quantitative real time RT-PCR on 21 low stage CLL patients for selected genes of the WNT/PCP non-canonical pathway where key members are over-expressed.