
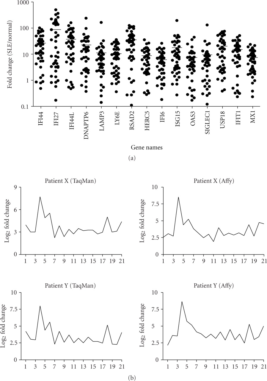
TaqMan QRT-PCR confirmed the overexpression of IFN-α/β-inducible genes in WB of SLE patients. (a) Relative fold changes of
15 IFN-α/β-inducible genes (out of the 40 assayed) in SLE patients were compared with healthy donors (
for all). Averages of relative mRNA levels of genes in the pooled RNA from 24 healthy donors were scaled to 1 based on TaqMan
QRT-PCR assays. Horizontal bars represent average fold change. (b) TaqMan QRT-PCR validation of overexpression of the 21-gene
panel of IFN-α/β-inducible genes in WB of SLE patients as determined by whole genome array. The relative overexpression of
21 IFN-α/β-inducible genes in 2 SLE patients is shown via (left) microarray and (right) TaqMan assays. Correlation coefficients
(r) between TaqMan QRT-PCR and microarray were 0.986 and 0.989 for patient X and Y, respectively. IFN = interferon; QRT-PCR
= quantitative real-time reverse transcriptase polymerase chain reaction; SLE = systemic lupus erythematosus.













