
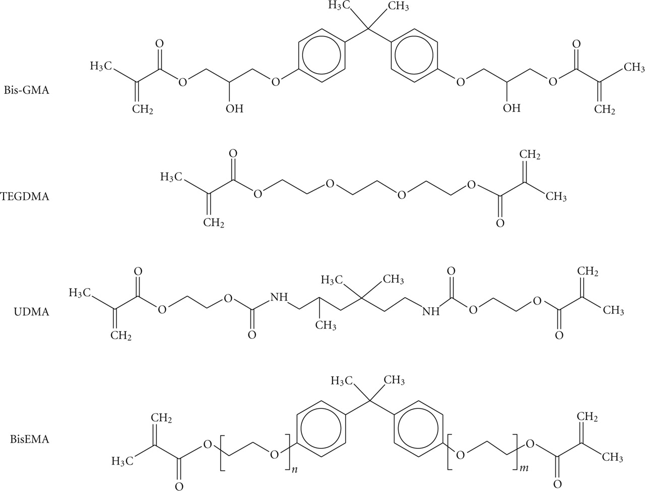
Figure 4
Resin monomers often used in the formulations of dental resin composites.
(Downloading may take up to 30 seconds. If the slide opens in your browser, select File -> Save As to save it.)
Click on image to view larger version.