(Downloading may take up to 30 seconds.
If the slide opens in your browser, select File -> Save As to save it.)

Copyright restrictions may apply. Please see our Conditions of Use.

Click on image to view larger version.


Figure 1


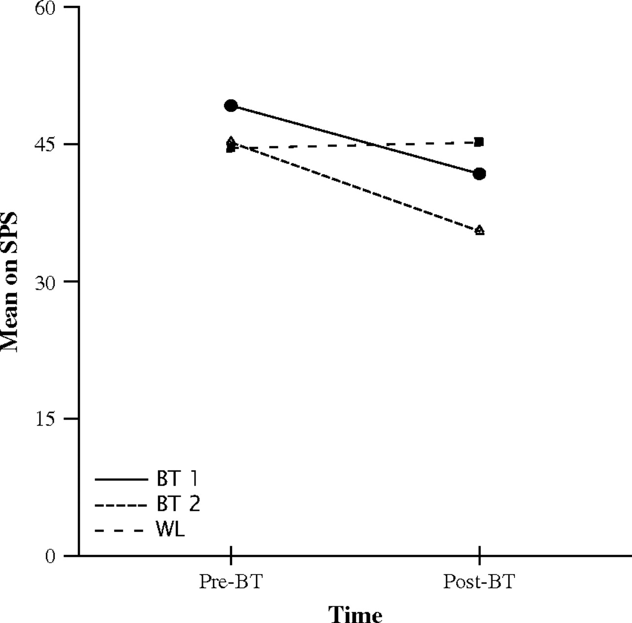
FIGURE 1 Group mean and interaction effect on SPS.

Note. The BT 1 and BT 2 groups exhibited a significantly higher reduction on the SPS than the WL group. There was no significant difference between BT 1 and BT 2.